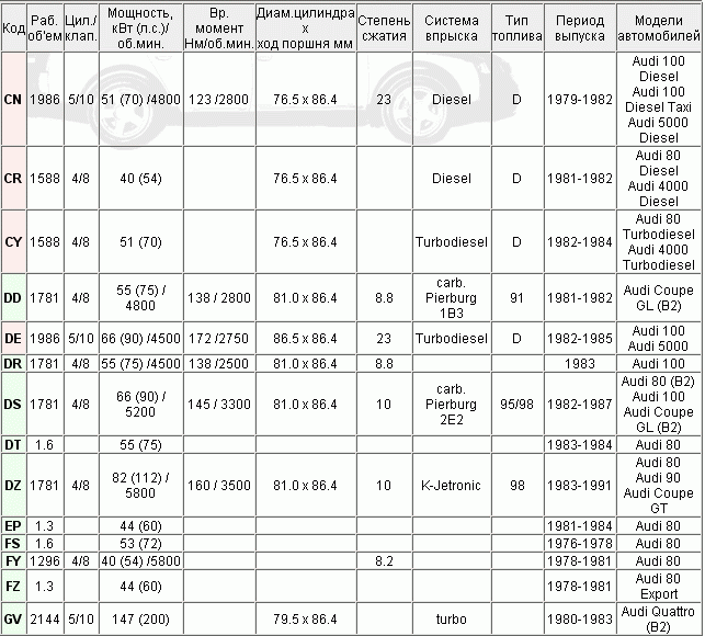
Маркировка двигателей ауди 80 б3 - найдено 60 изображений
Найдено изображений: 60
Смотрите также
- 4 класс таблица памятка
- Как снять встраиваемую духовку
- Как разобрать фары видео
- Гиляровский владимир алексеевич фото
- Как правильно подключить через реле
- Антиоксиданты в продуктах питания таблица
- Виды традиций и примеры таблица
- Ауди 100 с4 предохранители фар
- Как выглядят растения против зомби 1
- Ксения панфилова жена никиты панфилова фото
- Дмитрий сысоев ангарск на фото в соцсетях
- Татьяна конюхова биография фото
- Проекты гчп в рф
- Певец никита биография фото
- Технологическая карта по внеурочной деятельности
- Расположение неметаллов в таблице менделеева
- Назови виды почек по расположению
- Скользящий график оплата в выходные дни
- Холодильник позис как снять панель испарителя
- Леонид антонов чувашский певец биография личная жизнь
